Türkiye'nin gündeminde uzun bir süredir dolandırıcılık olayları yer alıyor...
Bu dolandırıcılık olaylarının en büyüğü ise futbol camiasında, Seçil Erzan sayesinde gerçekleşti.
Fon vdiyle aralarında Arda Turan, Emre Belözoğlu, Fernando Muslera gibi ünlü isimlerin de olduğu çok sayıda kişiyi dolandıran Seçil Erzan, tutuklandı.
Erzan'ın tutuklanmasının ve ifade vermeye başlamasının ardından ise detaylar iyice ayyuka çıktı.
Bu detaylara her geçen gün yenisi eklenirken, 10 Nisan 2023 günü Çorlu’da gözaltına alınan Seçil Erzan’ın evinde yapılan aramalarda ele geçirilen bazı dokümanlar, yakalama dosyasına konuldu.
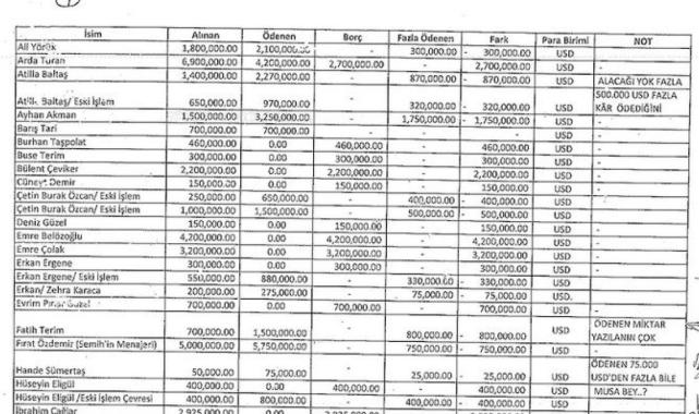
İki farklı liste gündeme düştü
Seçil Erzan’ın daha önce kimden kaç para aldığına yönelik hazırlanan iki liste ortaya çıkmıştı. Bunlardan biri 29 kişilik, diğeri 21 kişilik bir isim listesiydi. Bu isim listesiyle ilgili yeni gelişme yaşandı.
Gözaltına alınan Seçil Erzan’ın evinde biri dolar diğeri Türk lirası olarak aldığı ve ödediği para listesi ele geçirildi. Listenin içeriği; isim, alınan, ödenen, borç, fazla ödenen, fark, para birimi ve not olarak hazırlanmış.
Fatih Terim listede!
Habertürk muhabiri Mustafa Şekeroğlu’nun özel haberine göre; hazırlanan dolar listesi, 47 kalem olarak sıralanıyor. Listede ünlü teknik direktör Fatih Terim’in ismi de yer alıyor. Fatih Terim’den 700 bin dolar alındığı, 1 milyon 500 bin dolar ödendiği yazılıyor. 800 bin dolar fazla ödenen listenin not bölümüne "Ödenen miktar yazılanın çok" ibaresi düşülmüş. TL listesindeki isimler arasında Fatih Terim’in şoförü Umut Algöze de yer alıyor. Listeye göre Algöze 100 bin lira ödemiş, 150 bin olarak parasını almış gözüküyor.

Seçil'in topladığı para: 55 milyon dolar
Arda Turan, Muslera, Emre Belözoğlu, Selçuk İnan, Emre Çolak gibi ünlü isimlerin de yer aldığı dolar listesine göre Seçil Erzan toplamda 55 milyon 633 bin 222 dolar para topladı. Bunlardan 45 milyon 59 bin 333 dolar parayı iade etti. Toplam 24 milyon 866 bin lira borç kaldı. 14 milyon 292 bin 222 dolar fazla para ödedi. Aradaki fark ise 10 milyon 573 bin 888 liraydı.

Listedekilerden 10 defa para aldı
Hazırlanan ikinci listede yer alan kişilerden 10 kez para alındığı görülüyor. Bunlardan toplam 27 milyon 760 bin lira para toplandı. Bunlara karşılık 42 milyon 360 bin lira para ödendi. 2 milyon borç görünen listede 16 milyon lira fazla ödeme yapıldı.
Ele geçirilen bu listenin doğru olup olmadığı yapılacak incelemelerde ortaya çıkacak.
Terim 23 milyon kredi çekmiş
Seçil Erzan’ın evinde çıkan bir işlem belgesinde, Fatih Terim’in ihtiyaç kredisi çektiği görülüyor. Dosyaya giren işlem belgesine göre 22 Mayıs 2020’de Denizbank’tan 23 milyon 700 bin lira ihtiyaç kredisi çekti. Toplam 30 milyon 549 bin lira olarak yapılacak ödemesine göre aylık 1 milyon 243 bin lira taksit işlemi yapıldığı görülüyor.

Yorumlar
Kalan Karakter: